• Предмет: Математика
  • Автор: igorprofffe
  • Вопрос задан 3 года назад

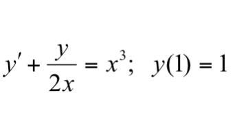
Помогите,Решить дифференциальные уравнения 1) Линейное первого порядка, найти частное решение (частный интеграл), удовлетворяющее данным условиям.

Приложения:

zveryakovanata: Всё уравнение раздели на корень из х
zveryakovanata: пиши В ВК, умножь всё уравнение (id92240104) на корень из ч и воспользуйся формулой производной произведения

Ответы

Ответ дал: NNNLLL54
0

Ответ:

\displaystyle y'+\frac{y}{2x}=x^3\ \ ,\ \ \ y(1)=1\ \ ,\\\\\\y=uv\ \ ,\ \ y'=u'v+uv'\\\\u'v+uv'+\frac{uv}{2x}=x^3\ \ \ ,\ \ \ u'v+u\, (v'+\frac{v}{2x}\, )=x^3\ \ ,\\\\\\a)\ \ v'+\frac{v}{2x}=0\ \ ,\ \ \ \int \frac{dv}{v}=-\int \frac{dx}{2x}\ \ ,\ \ ln|v|=-\frac{1}{2}\, ln|x|\ \ ,\ \ v=\frac{1}{\sqrt{x}}\\\\\\b)\ \ u'\cdot \frac{1}{\sqrt{x}}=x^3\ \ ,\ \ \ \int du=\int \sqrt{x}\cdot x^3\, dx\ \ ,\ \ \int du=\int x^{7/2}\, dx\ ,\\\\\\u=\frac{2x^{9/2}}{9}+C\ \ ,\ \ \ u=\frac{2\sqrt{x^9}}{9}+C

c)\ \ y_{obshee}=\dfrac{1}{\sqrt{x}}\cdot \Big(\dfrac{2\sqrt{x^9}}{9}+C\Big)=\dfrac{2\, x^4}{9}+\dfrac{C}{\sqrt{x}}\\\\\\d)\ \ y(1)=1:\ \ 1=\dfrac{2}{9}+C\ \ ,\ \ C=\dfrac{7}{9}\\\\y_{chastnoe}=\dfrac{2x^4}{9}+\dfrac{7}{9\sqrt{x}}

Вас заинтересует