Ответы
Ответ дал:
1
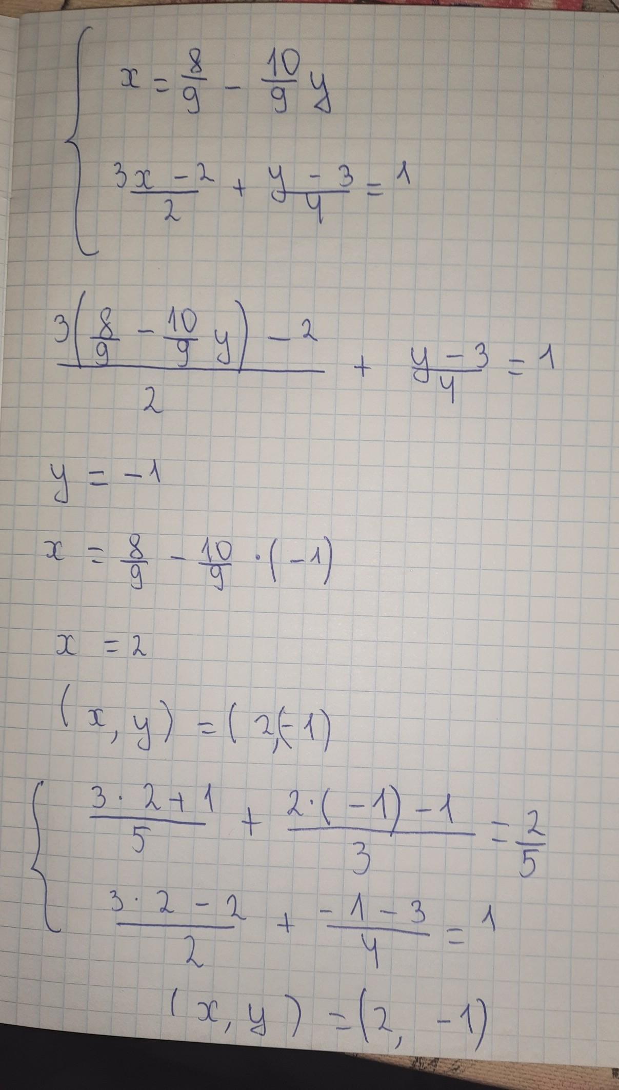
открой фото я прикрепила и там решение
Приложения:

Вас заинтересует
2 года назад
2 года назад
2 года назад
2 года назад
8 лет назад
8 лет назад
9 лет назад