• Предмет: Геометрия
  • Автор: 515152
  • Вопрос задан 3 года назад

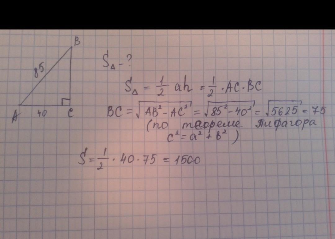
Найти площадь прямоугольного треугольника если его катет и гипотенуза равны соответственно 7 и √ 85

Ответы

Ответ дал: dieravv
2

Объяснение:

Это точниправилнокаментарияне пишупожалуста

Лайкбасыпкетіңдерші.....!

Приложения:

dieravv: мен лайк тастадым стенде Маган тастай аласынба?
Вас заинтересует