• Предмет: Алгебра
  • Автор: irinka200724
  • Вопрос задан 3 года назад

ПОМОГИТЕ С АЛГЕБРОЙ 7 КЛАСС, ДАЮ 30 БАЛОВ​

Приложения:

Ответы

Ответ дал: s1051966
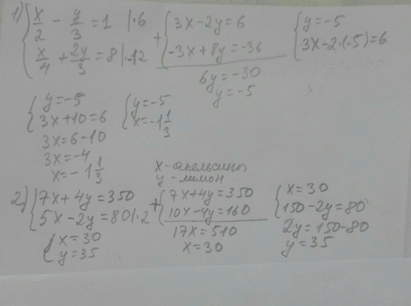
1

третий перевод на русский язык нужен

Приложения:

irinka200724: хорошо, я сейчас скину перевод
irinka200724: на заводе изготовили два вида деталей . Масса 8 деталей первого вида и 6 деталей второго вида составляет вместе 29 кг.Найдите масу деталей каждого вида , если масса 4 деталей другого вида на 1 кг.больше , чем масса двух деталей первого вида .
irinka200724: помоги пожалуйста решить
s1051966: я только сейчас увидел на третий ответ нужен?
s1051966: {8х+6у=29. {2х+1=4у
s1051966: х — первая деталь, у—вторая деталь ответ х=2,5кг, у=1,5кг
irinka200724: даа
irinka200724: спасибо большое
Вас заинтересует