• Предмет: Математика
  • Автор: kartoshkavkusna
  • Вопрос задан 3 года назад

помогите даю 80 баллов СРОЧНО!!!!!!!!​

Приложения:

Ответы

Ответ дал: sachok1802
0

Ответ:

Пошаговое объяснение:

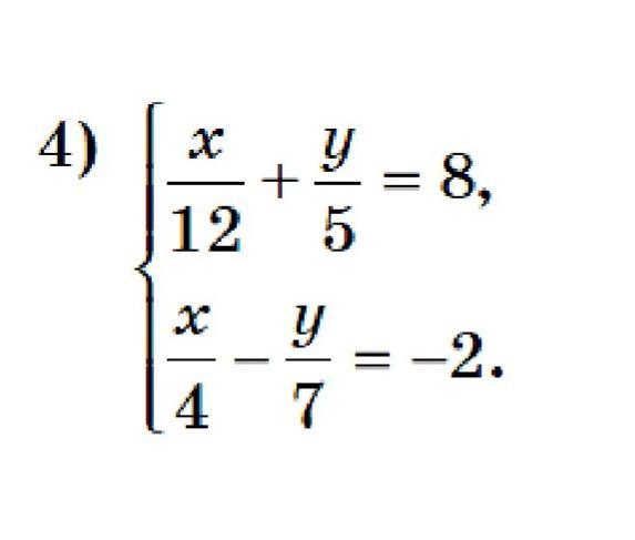
\left \{ {{5x + 12y=480} \atop {7x-4y=-56}} \right.

5х = 480 - 12у

х = 96 - 2,4у

7 (96 - 2,4у) - 4у = -56

672 - 16,8у - 4у = -56

-20,8у = -728

у = 35

х = 96 - 2,4 * 35 = 96 - 84 = 12

Ответ дал: kuzjmenkonikita
0

Відповідь:

Покрокове пояснення:

5х = 480 - 12у

х = 96 - 2,4у

7 (96 - 2,4у) - 4у = -56

672 - 16,8у - 4у = -56

-20,8у = -728

у = 35

х = 96 - 2,4 * 35 = 96 - 84 = 12

Вас заинтересует