• Предмет: Физика
  • Автор: Tizoner
  • Вопрос задан 3 года назад

Помогите, пожалуйста, с задачей по физике

Приложения:

Ответы

Ответ дал: Аноним
2

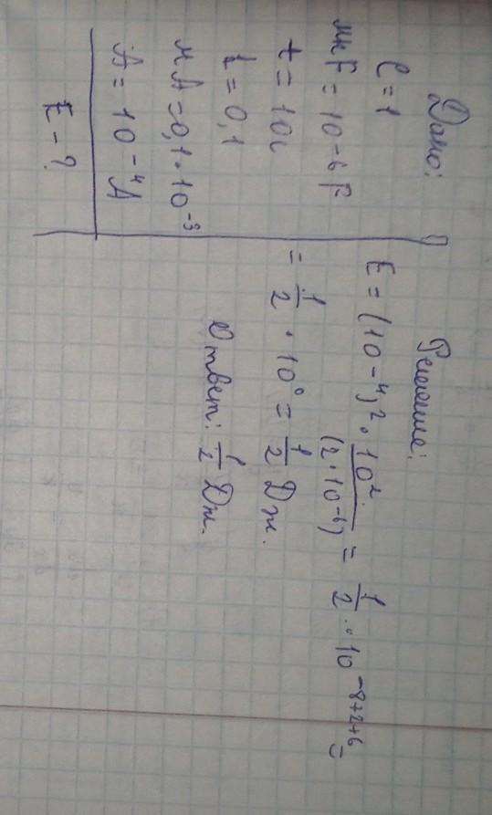
Дано: С=1 мкФ=10⁻⁶Ф; t=10 с; I=0,1 мА=0,1*10⁻³А=10⁻⁴А; Е - ?

-----------------------------------------------------------------------------

E=q²/(2C)

Кулон=ампер*секунда

q=I*t

E=I²*t²/(2C)

------------

Е=(10⁻⁴)² * 10² / (2*10⁻⁶)=

1/2 * 10⁻⁸⁺²⁺⁶=1/2 * 10⁰=1/2 Дж или 0,5 Дж.  Это ответ.

Ответ дал: Бумерaнг
4

Ответ:

решение на фотографии.....

Приложения:
Вас заинтересует