• Предмет: Математика
  • Автор: krdsawertyui
  • Вопрос задан 3 года назад

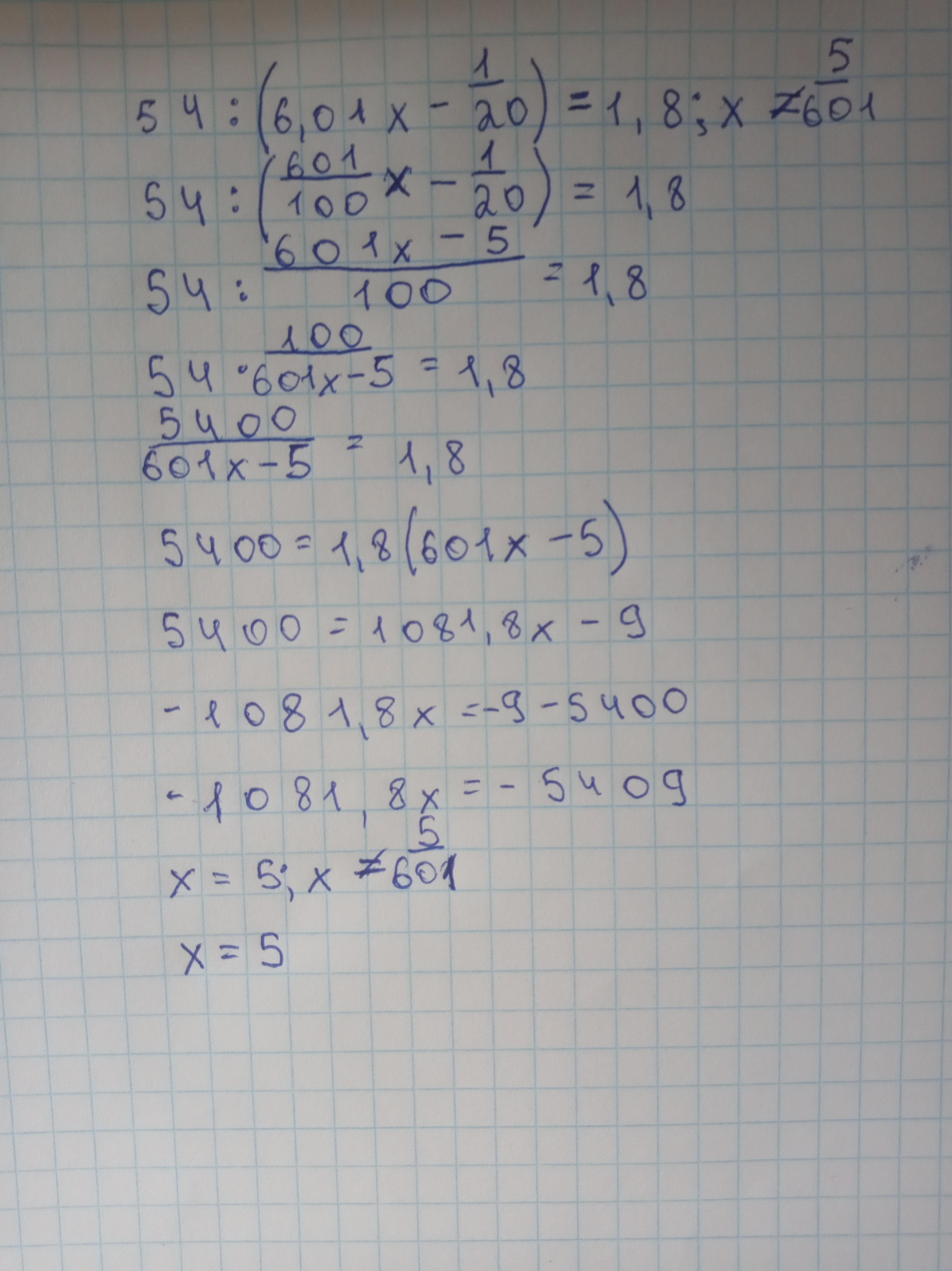
54:(6,01x-1/20)=1,8 решить уравнение используя алгоритм

Ответы

Ответ дал: bakulinasofiia
4

Будет лучше если напишу на листке. Удачи.

Приложения:
Вас заинтересует