• Предмет: Алгебра
  • Автор: Gonlov
  • Вопрос задан 3 года назад

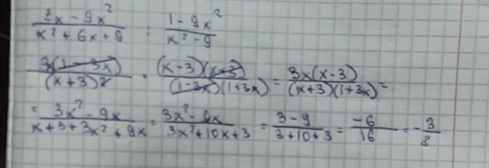
3. Найдите значение выражения:
3х-9х2 1-9х2
х2+6х+
9х2-я при х=1. Дам 40 баллов ​

Приложения:

Ответы

Ответ дал: agatagor
5

Ответ:

Если что-то не понятно, пиши в комментариях

Приложения:

Аноним: не понял
Аноним: мутно
madi03032007: все норм понял
zamanovasonya74: можешь пожалуйста скинуть фото чётче ?
nika4533: пожалуйста сфоткай получше
Вас заинтересует