• Предмет: Геометрия
  • Автор: aryzbekov97
  • Вопрос задан 3 года назад

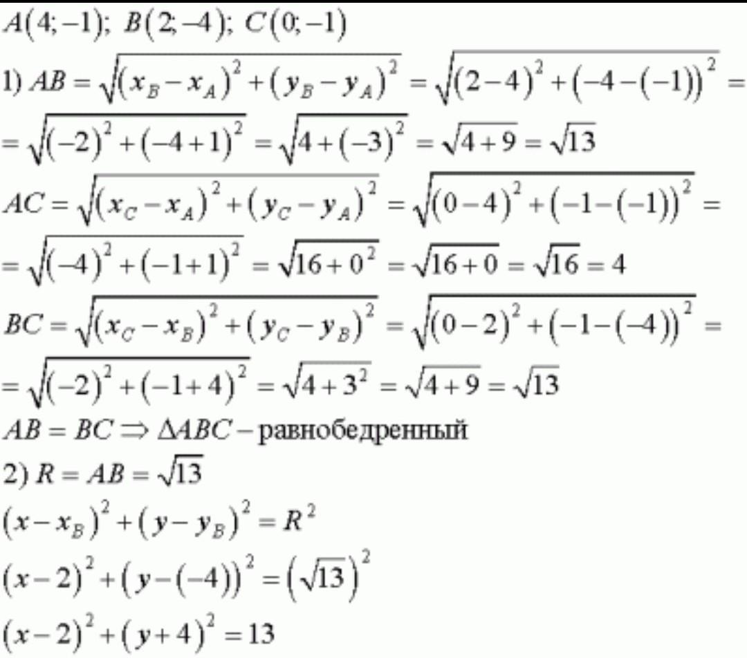
точки A(-1;4), B(-4;2), C(-1;0) являются вершинами треугольника ABC. Докажите , что треугольник ABC - равнобедреный​

Ответы

Ответ дал: nabievadianochka
5

Ответ:

Ответ на рис выше...

Приложения:

Skyiter: Тут не правильное, у тебя (4:-1) а надо (-1:4)
eminovemir4: правильно?
Timalala: и так это верно?
Fedyr: мазга у тебя не правильно
nalajova: кто сделал ?
nalajova: помогите
Вас заинтересует