• Предмет: Алгебра
  • Автор: SinzetA
  • Вопрос задан 3 года назад

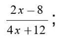
1. Дана алгебраическая дробь
а) Найдите при каком значении переменной значение дроби равно нулю

b) Найдите допустимые значения переменной в алгебраической дроби
(помогите пожалуйста сор)

Приложения:

Ответы

Ответ дал: Dedagenn
2

Ответ:

а) когда числитель равен нулю 2х-8=0, х=4

б) когда знаменатель НЕ равен нулю:

х≠-3


SinzetA: От души братан
Вас заинтересует