• Предмет: Математика
  • Автор: Аноним
  • Вопрос задан 3 года назад

Найдите решение систем уравнений ​

Приложения:

Ответы

Ответ дал: NNNLLL54
0

Ответ:

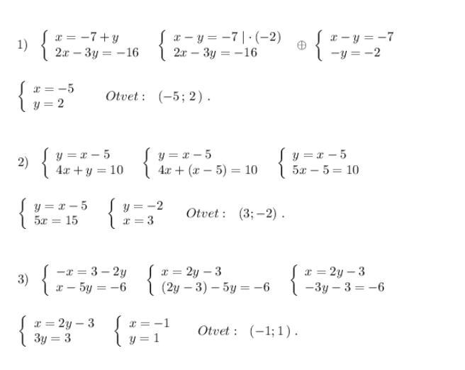
1)\ \ \left\{\begin{array}{l}x=-7+y\\2x-3y=-16\end{array}\right\ \ \left\{\begin{array}{l}x-y=-7\ |\cdot (-2)\\2x-3y=-16\end{array}\right\ \oplus\  \left\{\begin{array}{l}x-y=-7\\-y=-2\end{array}\right\\\\\\\left\{\begin{array}{l}x=-5\\y=2\end{array}\right\ \ \ \ \ Otvet:\ \ (-5\, ;\, 2\, )\ .

2)\ \ \left\{\begin{array}{l}y=x-5\\4x+y=10\end{array}\right\ \ \left\{\begin{array}{l}y=x-5\\4x+(x-5)=10\end{array}\right\ \ \left\{\begin{array}{l}y=x-5\\5x-5=10\end{array}\right\\\\\\\left\{\begin{array}{l}y=x-5\\5x=15\end{array}\right\ \ \left\{\begin{array}{l}y=-2\\x=3\end{array}\right\ \ \ Otvet:\ \ (3;-2)\ .

3)\ \ \left\{\begin{array}{l}-x=3-2y\\x-5y=-6\end{array}\right\ \ \left\{\begin{array}{l}x=2y-3\\(2y-3)-5y=-6\end{array}\right\ \ \left\{\begin{array}{l}x=2y-3\\-3y-3=-6\end{array}\right\\\\\\\left\{\begin{array}{l}x=2y-3\\3y=3\end{array}\right\ \ \left\{\begin{array}{l}x=-1\\y=1\end{array}\right\ \ \ \ Otvet:\ \ (-1;1\, )\ .

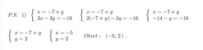
P.S.\ \ 1)\ \ \left\{\begin{array}{l}x=-7+y\\2x-3y=-16\end{array}\right\ \ \left\{\begin{array}{l}x=-7+y\\2(-7+y)-3y=-16\end{array}\right\ \ \left\{\begin{array}{l}x=-7+y\\-14-y=-16\end{array}\right\\\\\\\left\{\begin{array}{l}x=-7+y\\y=2\end{array}\right\ \ \left\{\begin{array}{l}x=-5\\y=2\end{array}\right\ \ \ \ Otvet:\ \ (-5;\, 2\, )\ .

Приложения:

Аноним: Можешь фото сделать у меня не отображается?)
NNNLLL54: Сделала ...
Ответ дал: sangers1959
0

Пошаговое объяснение:

1)

\left \{ {{x=-7+y} \atop {2x-3y=-16}} \right.\ \ \ \ \left \{ {{x=y-7} \atop {2*(y-7)-3y=-16}} \right.  \ \ \ \ \left \{ {{x=y-7} \atop {2y-14-3y=-16}} \right. .\ \ \ \ \left \{ {{x=y-7} \atop {-y=-2\ |*(-1)}} \right. \ \ \ \ \left \{ {{x=-5} \atop {y=2}} \right. .

Ответ: (-5;2).

2)

\left \{ {{y=x-5} \atop {4x+y=10}} \right. \ \ \ \ \left \{ {{y=x-5} \atop {4x+x-5=10}} \right. \ \ \ \ \left \{ {{y=x-5} \atop {5x=15\ |:5}} \right. \ \ \ \ \left \{ {{y=-2} \atop {x=3}} \right. .

Ответ: (3;-2).

3)

\left \{ {{-x=3-2y} \atop {x-5y=-6}} \right. \ \ \ \ \left \{ {{-x+2y=3} \atop {x-5y=-6}} \right..

Суммируем эти уравнения:

-3y=-3\ |:(-3)\\y=1.\\x-5*1=-6\\x-5=-6\\x=-1.\ \ \ \ \Rightarrow

Ответ: (-1;1).

Вас заинтересует