• Предмет: Алгебра
  • Автор: ilona112806
  • Вопрос задан 3 года назад

помогите пожалуйста ​

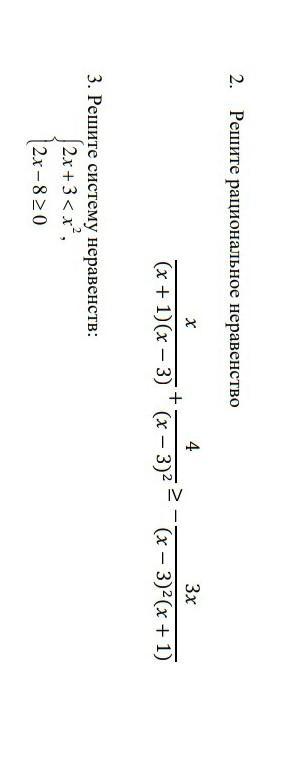
Приложения:

Ответы

Ответ дал: Universalka
1

\frac{x}{(x+1)(x-3)}+\frac{4}{(x-3)^{2} }\geq-\frac{3x}{(x-3)^{2}(x+1) } \\\\\frac{x}{(x+1)(x-3)}+\frac{4}{(x-3)^{2} }+\frac{3x}{(x-3)^{2}(x+1) }\geq0 \\\\\  \frac{x*(x-3)+4*(x+1)+3x}{(x+1)(x-3)^{2} } \geq 0\\\\\frac{x^{2}-3x+4x+4+3x }{(x+1)(x-3)^{2} }\geq0\\\\\frac{x^{2}+4x+4 }{(x+1)(x-3)^{2}} \geq 0\\\\\frac{(x+2)^{2} }{(x+1)(x-3)^{2} }\geq 0

     -                    -                 +               +

_______[- 2]______(- 1)______(3)______

                                   ////////////////  //////////////

Ответ :  x ∈ ( - 1 ; 3) ∪ (3 ; + ∞)

2)\left \{ {{2x+3<x^{2} } \atop {2x-8\geq 0}} \right. \\\\\left \{ {{x^{2}-2x-3>0 } \atop {2x\geq8 }} \right. \\\\\left \{ {{(x-3)(x+1)>0} \atop {x\geq 4}} \right.

    +                 -                       +

1) ______(-1)_______(3)_____________

 //////////////                  /////////////////////////////

2) _____________________[4]________

                                                  //////////////////

Ответ : x ∈ [4 ; + ∞)

Вас заинтересует