• Предмет: Алгебра
  • Автор: Cipcilinka
  • Вопрос задан 3 года назад

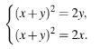
Решить систему уравнений с решением:

Приложения:

Ответы

Ответ дал: Елена144
0

Ответ:

( 0 ; 0) и (0,5 ; 0,5)

Объяснение:

Приравняем левые части : 2x = 2y ⇒ x=y

Подставим в первое уравнение системы y вместо х :

(y+y)²=2y

4y²-2y=0

2y²-y=0

y(2y-1)=0

y=0 или y=0,5

x=0         x=0,5

Вас заинтересует