• Предмет: Алгебра
  • Автор: Marishhka
  • Вопрос задан 3 года назад

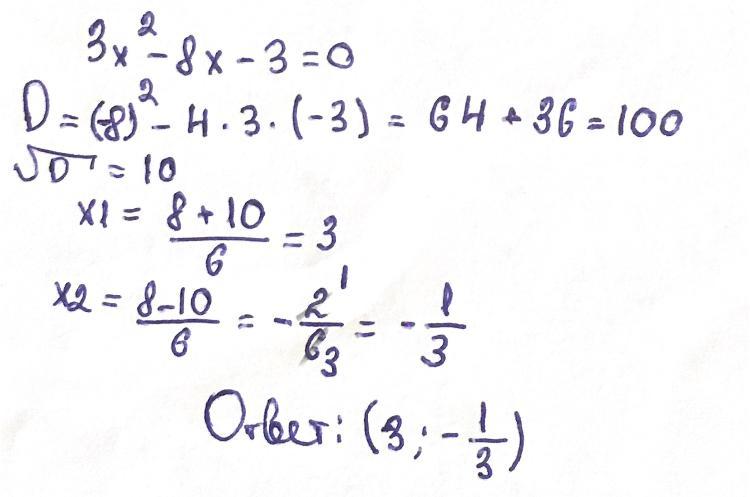
3x²-8x-3=0
помогите пожалуйста​

Ответы

Ответ дал: adorabl
1

Ответ:

Объяснение:

решение на фото

Приложения:
Вас заинтересует