Помогите пожалуйста, кто понимает математику(алгебра) Даю 50 баллов!!! Пожалуйста, подробно, на бумаге) Поставлю 5 звезд и лучший ответ)
Приложения:

dayana24sh:
а что это У тебя 25 баллов? зачем писать что даешь 50
Ответы
Ответ дал:
1
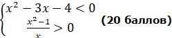
Ответ:
x⊂(-1,0)∪(1,4)
Объяснение:
1) решаем верхнее уравнение как квадратное уравнение через разложение на множители
раскладываем на систему уравнений
решаем
Первая система уравнений не дает результатов поэтому берем результаты из второй x⊂(-1,4)
2) решаем таким же образом второе уравнение
из первой системы x⊂(1, ∞)
из второй системы x⊂(-1, 0)
объединяем результаты
x⊂(-1,0)∪(1,∞)
3) Объединяем первые два результата в один и получаем x⊂(-1,0)∪(1,4)
Вас заинтересует
2 года назад
2 года назад
2 года назад
2 года назад
8 лет назад
9 лет назад