Ответы
Ответ дал:
0
Ответ:
в первом первый вариант, второе решений нет
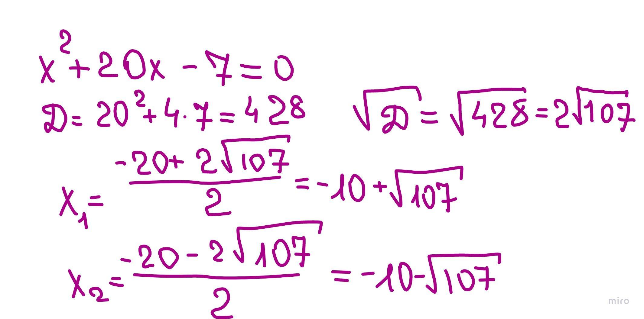
Объяснение:
Приложения:


Вас заинтересует
2 года назад
2 года назад
2 года назад
2 года назад
8 лет назад
8 лет назад
9 лет назад