• Предмет: Алгебра
  • Автор: nukitakalinin080
  • Вопрос задан 3 года назад

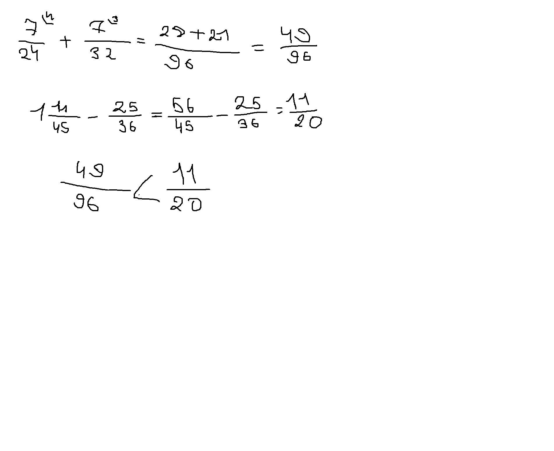
сравните значения выражений ​

Приложения:

Ответы

Ответ дал: CrazyTapok227
0

Ответ:

Решение на фото.

Объяснение:

Приложения:

CrazyTapok227: Если можно отметь как лучший, сильно поможешь мне))
Вас заинтересует