• Предмет: Математика
  • Автор: karina200320000
  • Вопрос задан 3 года назад

Математика. Решите задание. Тема Обыкновенные ДУ.

Приложения:

palilov243659: только завтра

Ответы

Ответ дал: palilov243659
1

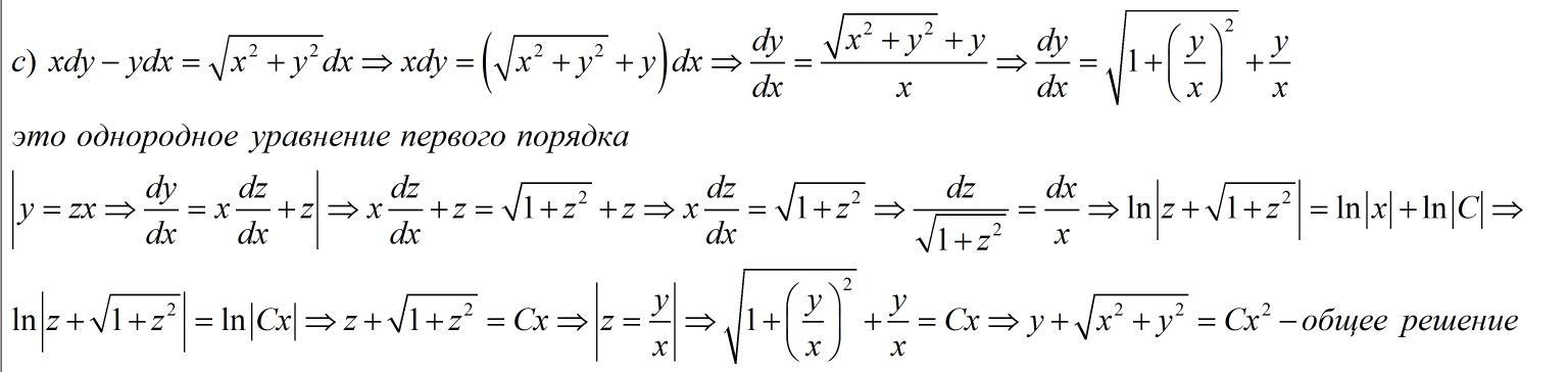
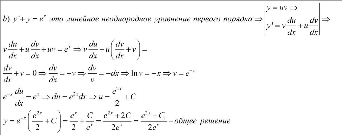
Ответ:

Пошаговое объяснение:

///////////////////////////////////

Приложения:

karina200320000: спасибо большое вам)))
Вас заинтересует