• Предмет: Математика
  • Автор: sadykovamunira931
  • Вопрос задан 3 года назад

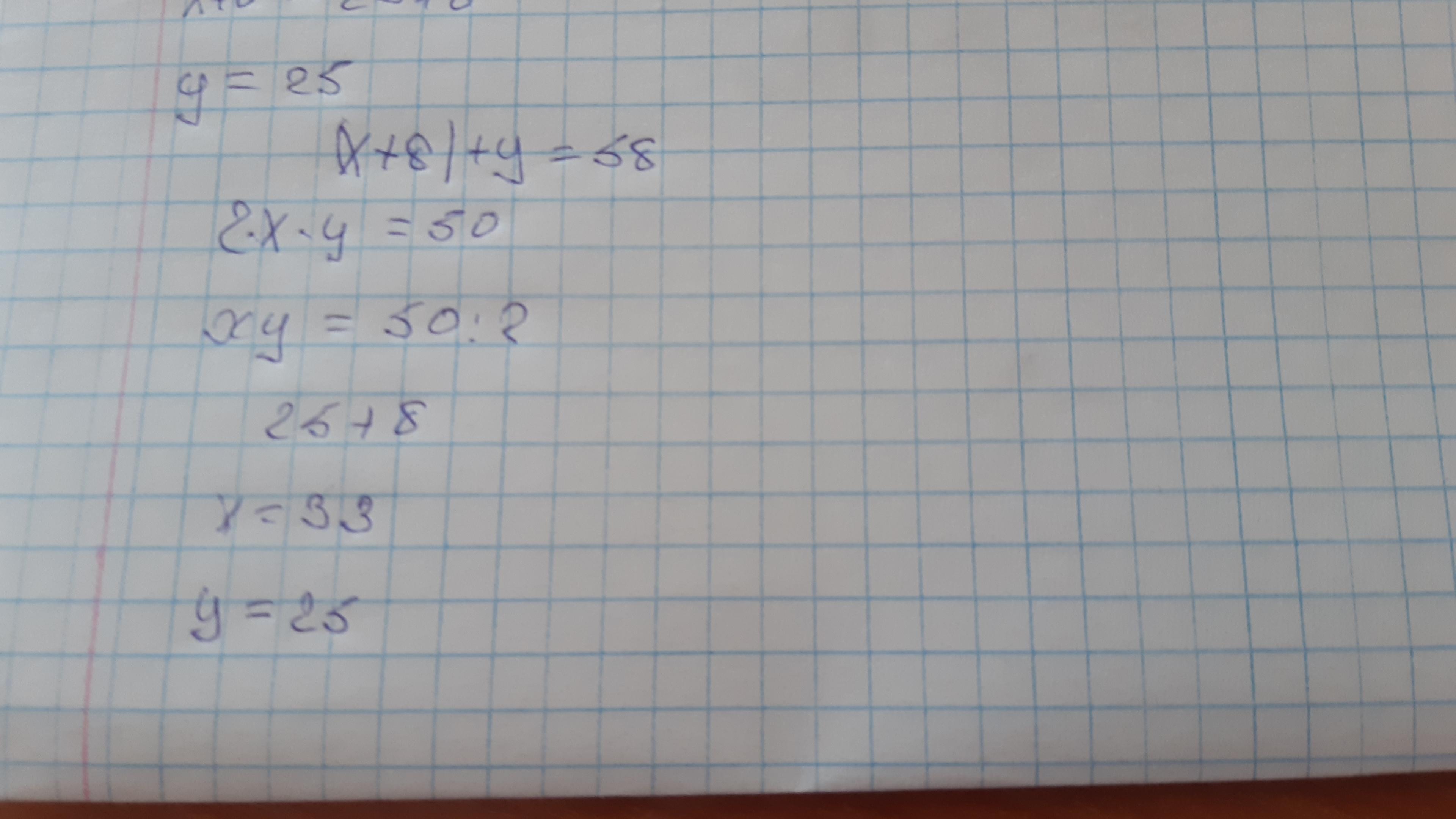
4. Решите задачу, составив систему уравнений. Сумма двух чисел равна 58. Первое число на 8 больше второго. Найдите этн
ДАЮ 20 БАЛЛОВ УМОЛЯЮ ПОМОГИТЕ​

Ответы

Ответ дал: shelyginr83
3

Ответ:вот

Пошаговое объяснение:

Приложения:
Вас заинтересует