Ответы
Ответ дал:
1
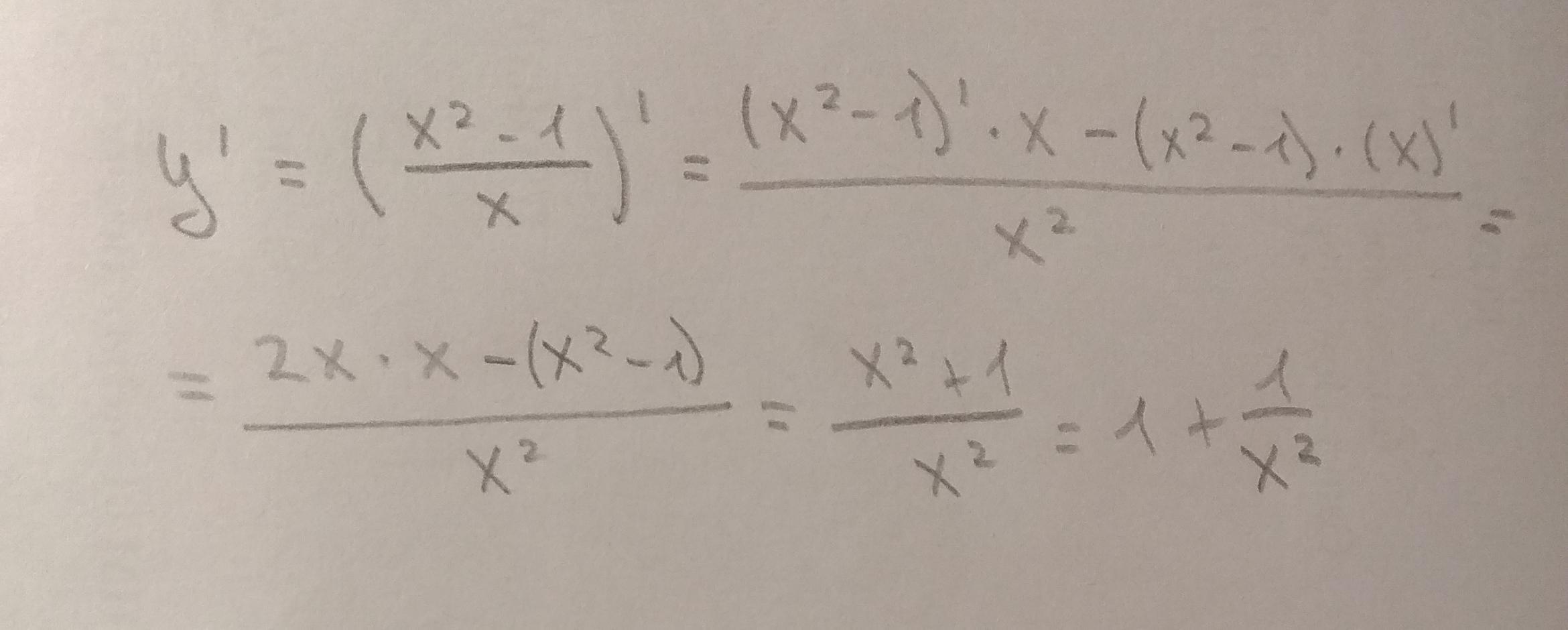
решение во вложении, желаю успехов
Приложения:


rinoa:
можете пожалуйста объяснить по шагам?
Вас заинтересует
2 года назад
2 года назад
2 года назад
8 лет назад
9 лет назад