• Предмет: Алгебра
  • Автор: мулека20082000
  • Вопрос задан 11 лет назад

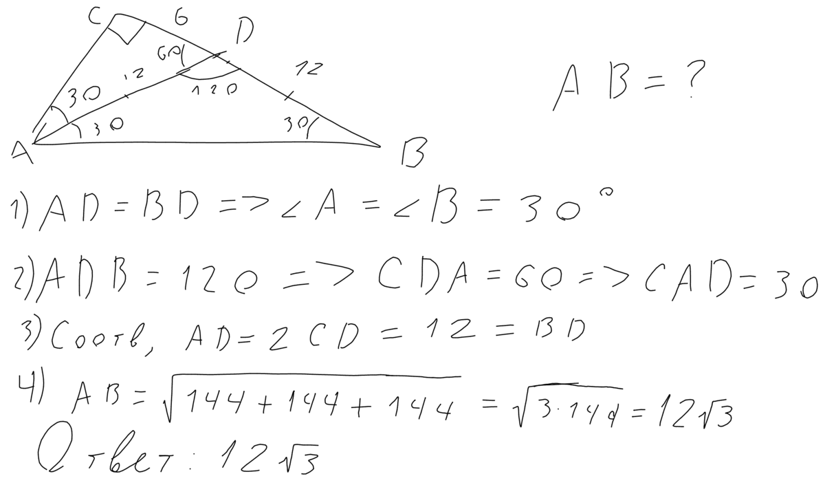
треугольник АВС прямоугольный угол АДВ равен 120° СД равен 6
АД равен ВД
найти AB

Приложения:

Ответы

Ответ дал: Desmos74
0
Решение и ответ на фото
Приложения:
Вас заинтересует