• Предмет: Химия
  • Автор: vasuksofia690
  • Вопрос задан 3 года назад

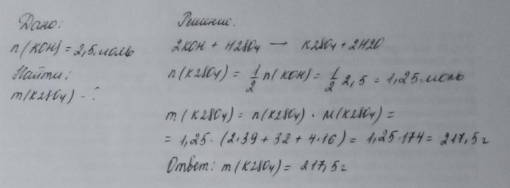
Допоможіть будь ласка, обчисліть масу солі яку можна отримати внаслідок повної нейтралізації 2,5 моль Калій гідроксидусульфатною кислотою. 3)обведенное ​

Приложения:

Ответы

Ответ дал: gavgav3445
1

Ответ:

Решение прикреплено. Надеюсь, что всё понятно.

Приложения:

vasuksofia690: Господи, ты лучший(ая), спасибо тебе огромное, спасатель
vasuksofia690: а можете ещё ответить на мой вопрос по химии, в моих вопросах там?
Вас заинтересует