• Предмет: Алгебра
  • Автор: DANAMALDYBEKOVA
  • Вопрос задан 8 лет назад

помогите пожалуйста с алгеброй!!​

Приложения:

Ответы

Ответ дал: FridayF5
1

Ответ:

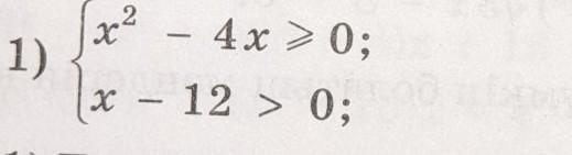
{x}^{2}  - 4x \geqslant 0 \\ {x}^{2} \geqslant 4x \\ x \geqslant 4 \\  \\ x - 12 > 0 \\ x > 12 \\

х€[4;+∞)

Вас заинтересует