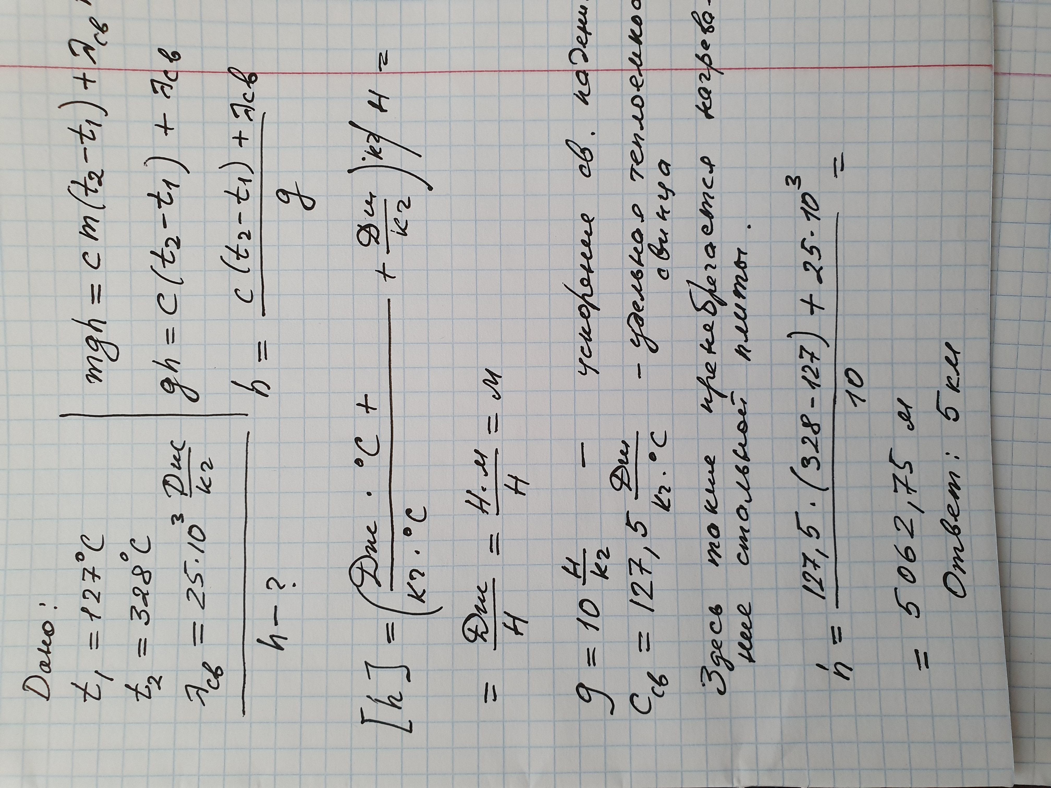
Помогите пожалуйста решить задачу. С какой наименьшей высоты должен упасть свинцовый шарик чтобы при ударе о стальную плиту он расплавился температура шарика при падении равно 127 градусов, температура плавления свинца 328 градусов. Сопротивлением воздуха пренебречь.
Ответы
Ответ дал:
1
Ответ:
Примерно 5 км
Объяснение:
Приложения:

Вас заинтересует
2 года назад
3 года назад
3 года назад
9 лет назад