• Предмет: Геометрия
  • Автор: malishevmixail11
  • Вопрос задан 8 лет назад

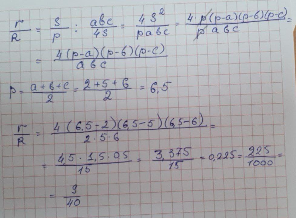
Стороны треугольника AB = 2 BC = 5 AC = 6. Отношение радиуса вписанной окружности к радиусу описанной окружности равно...​

Ответы

Ответ дал: ReMiDa
1

Ответ:

Объяснение:

Радиус вписанной окружности: r=S/р

S - площадь Δ

р - полупериметр Δ

р=(а+b+с)/2

Радиус описанной окружности: R= abc/4S

a,b,c - стороны Δ

S - площадь Δ

Площадь Δ по формуле Герона: S = √р(р-а)(р-b)(р-с)

р - полупериметр Δ.

r/R = S/р  : abc/4S

Приложения:
Вас заинтересует