• Предмет: Алгебра
  • Автор: mansurromazanov15
  • Вопрос задан 8 лет назад

Надеюсь на вашу помощь

Приложения:

Ответы

Ответ дал: Miroslava227
1

Ответ:

1.

Дробь имеет смысл, когда знаменатель не равен 0.

 {x}^{2}  - 16\ne0 \\  {x}^{2} \ne16 \\ x\ne\pm4

2.

 \frac{14 {x}^{2} {b}^{4}  }{21 {x}^{6} {b}^{3}  }  =  \frac{2b}{3 {x}^{4} }  \\

3.

5a +  \frac{2b - 15a {}^{2} }{3a}  =  \frac{5a \times 3a  +  2b - 15a {}^{2} }{3a}  =  \\  =  \frac{15 {a}^{2} + 2b - 15a {}^{2}  }{3a}  =  \frac{2b}{3a}  \\  \\ a = 4 \\ b =  - 12 \\  \\  \frac{2 \times ( - 12)}{3  \times  4}  =  - 2

4.

а)

 \frac{b}{18a}  +  \frac{b}{24a}  =  \frac{b}{6 \times 3a}  +  \frac{b}{6 \times 4a} =   \\  =  \frac{4b + 3b}{72a}  =  \frac{7b}{72a}

б)

 \frac{5x - 7}{ {x}^{2}  - 4}  -  \frac{3x - 2}{2 - x}  =  \frac{5x - 7}{( x - 2)(x + 2)}  +  \frac{3x - 2}{x - 2}  =  \\  =  \frac{5x - 7 + (3x - 2)(x + 2)}{(x - 2)(x  + 2)}  =  \\  =  \frac{5x - 7 + 3 {x}^{2} + 6x - 2x - 4 }{ {x}^{2} - 4 }  =  \\  =  \frac{3 {x}^{2} + 9x - 11 }{ {x}^{2}  - 4}

5.

а)

 \frac{ {a}^{2} + 2ab + b  {}^{2} }{ {x}^{5} } \times  \frac{ {x}^{6} }{a {}^{2} -  b {}^{2} }   =  \\  =  \frac{x(a + b) {}^{2} }{(a - b)(a + b)}  =  \frac{x(a + b)}{a - b}

б)

 \frac{2x - 2y}{y}  \div  \frac{ {x}^{2}  -  {y}^{2} }{ {y}^{2} }  =  \\  =  \frac{2(x - y)}{y}   \times \frac{ {y}^{2} }{(x - y)(x + y)}  =   \\  =  \frac{2y}{x + y}

6.

а

 \frac{p - q}{p}  \times ( \frac{p}{p - q}  +  \frac{p}{q} ) =   \frac{p - q}{p}   \times  \frac{pq + p(p - q)}{q(p - q)} = \\  =  \frac{pq + p {}^{2} -  pq}{pq}  =  \frac{p {}^{2} }{pq}  =  \frac{p}{q}

б

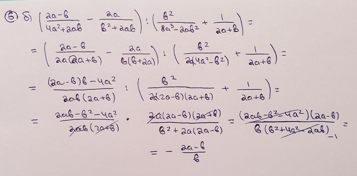
на фото

Приложения:
Вас заинтересует