• Предмет: Математика
  • Автор: blomfield
  • Вопрос задан 8 лет назад

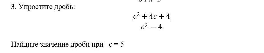
Упростите дробь:

с^2+4c+4/c^2-4



Найдите значение дроби при c = 5

Приложения:

Ответы

Ответ дал: fatyassirom
29

Ответ:

 \frac{ {c}^{2} + 4c + 4 }{ {c}^{2}  - 4}  =  \frac{ {(c + 2)}^{2} }{(c - 2)(c + 2)}  =  \frac{(c + 2)(c + 2)}{(c - 2)(c + 2)}  =  \frac{c + 2}{c - 2}

При с = 5:

 \frac{5 + 2}{5 - 2}  =  \frac{7}{3}  = 2 \frac{1}{3}

Ответ: 7/5 или 2 ⅓


blomfield: спасибо большое, а можно я еще задам вопрос?
fatyassirom: конечно можно
blomfield: ♡♡♡
Вас заинтересует