• Предмет: Алгебра
  • Автор: ns110376s
  • Вопрос задан 8 лет назад

решите неравенство решите неравенство​

Приложения:

Ответы

Ответ дал: NNNLLL54
0

Ответ:

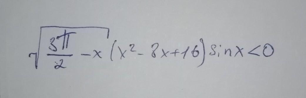
\sqrt{\dfrac{3\pi}{2}-x}\cdot (x^2-8x+16)\cdot sinx<0\\\\\\\sqrt{\dfrac{3\pi}{2}-x}\, \cdot (x-4)^2\cdot sinx<0

Первые два множителя неотрицательные, но так как неравенство строгое, то они не должны равняться нулю.

\dfrac{3\pi}{2}-x>0\ \ \ \to \ \ x<\dfrac{3\pi }{2}\\\\(x-4)^2\ne 0\ \ \to \ \ \ x\ne 4

Знак неравенства зависит от sinx , который отрицателен в 3 и 4 четвертях :

sinx<0\ \ \ \to \ \ \pi +2\pi n<x<2\pi +2\pi n\ ,\ n\in Z

Но так как   x<\dfrac{3\pi }{2}   и  x\ne 4\ \ \ (4\ rad\approx 229,2^\circ ) ,  то

 x\in \Big(-\pi -2\pi n;-\dfrac{\pi }{2}-2\pi n\Big)\cup \Big(\ \pi \ ;\ 4\ \Big)\cup \Big(\ 4\ ;\ \dfrac{3\pi }{2}\ \Big)\ ,\ n=0,1,2,3,...

Вас заинтересует