• Предмет: Математика
  • Автор: loshinskiy2003
  • Вопрос задан 8 лет назад

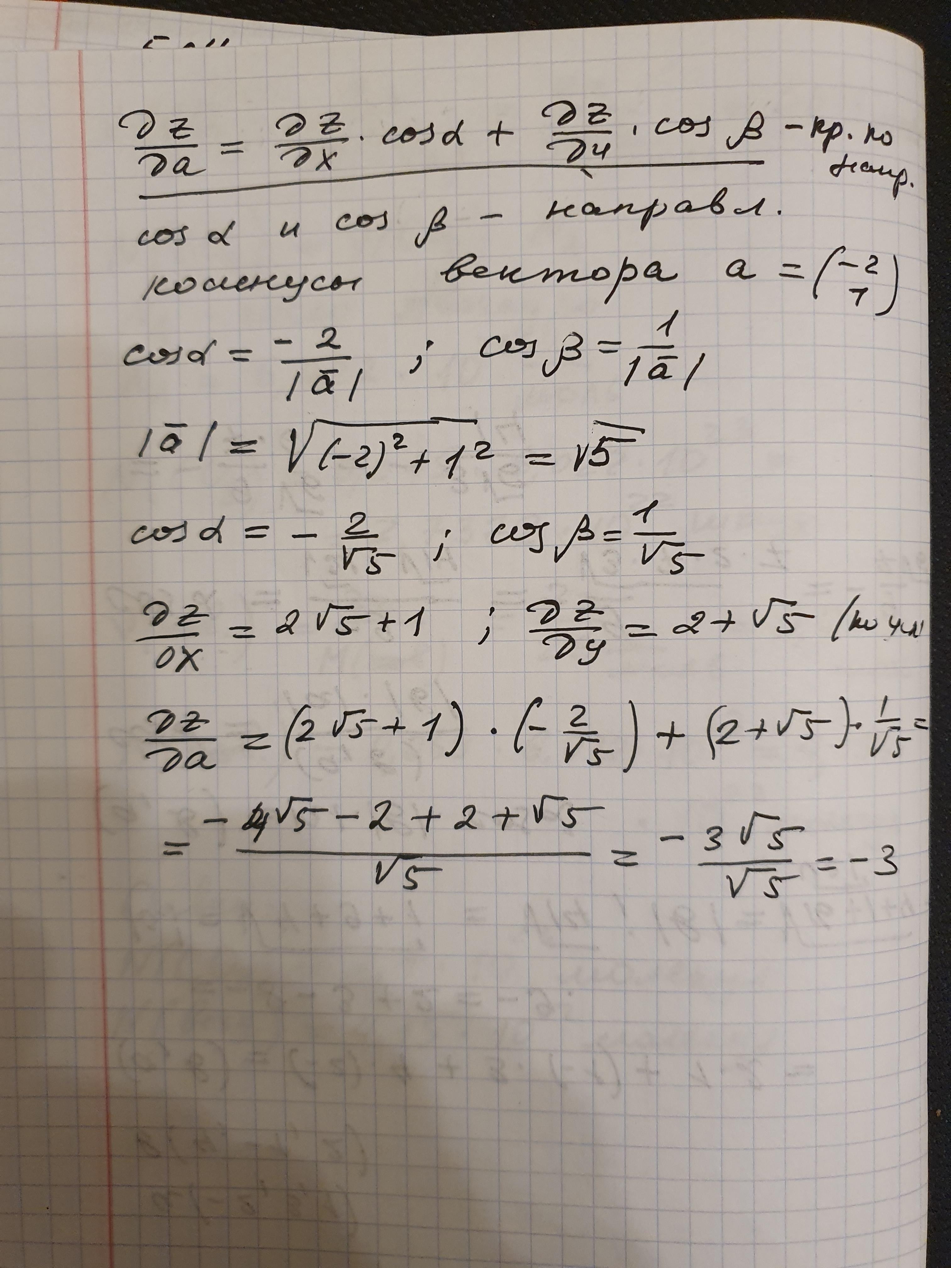
Если градиент скалярного поля Z = z(x,y) в точке P - это вектор (->)q=2sqrt(5)+1;2+sqrt(5), то производная поля Z в точке P в направлении вектора (->)a=(-2;1) равна...

Ответы

Ответ дал: alexlar30
0

Ответ:

-3

Пошаговое объяснение:

см. рис.

Приложения:
Вас заинтересует