Ответы
Ответ дал:
1
Ответ:
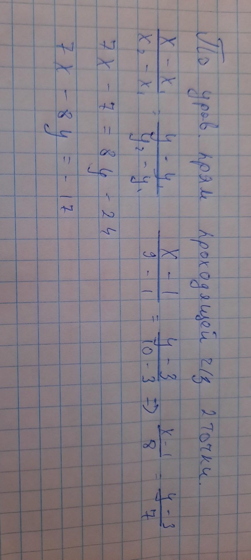
А: х = 1, у = 3
В: х = 9, у = 10
Составляем систему:
- уравнение прямой
andreyparamz:
ПРИВЕТ! ПОМОЖЕШЬ ЧЕРЕЗ 25 МИНУТ, У МЕНЯ НОВЫЙ СОЧ, ВСЕ БАЛЛЫ ОТДАМ, ХОРОШО?
Ответ дал:
1
Решение во вложении:
Объяснение:
Приложения:

Вас заинтересует
3 года назад
8 лет назад
8 лет назад
9 лет назад
9 лет назад