• Предмет: Алгебра
  • Автор: kimzinaida
  • Вопрос задан 8 лет назад

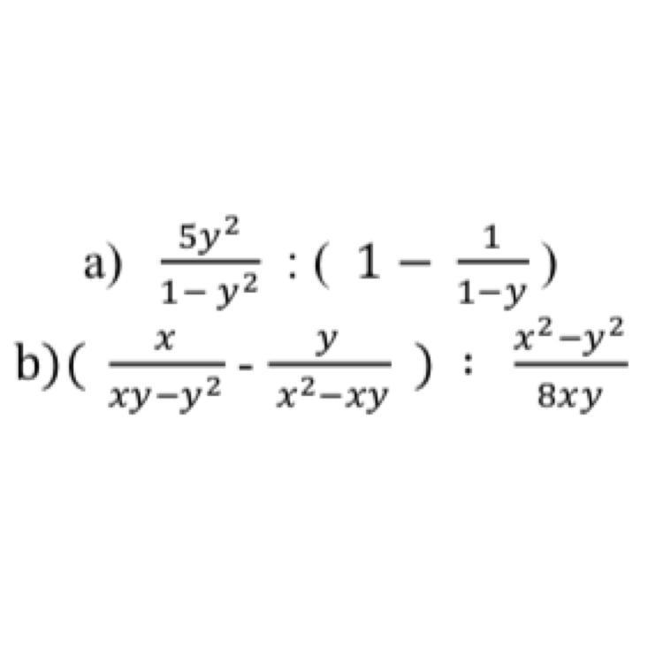
Упростите выражение пжлст помогите пожалуйста

Приложения:

Ответы

Ответ дал: asuvorov249
1

Объяснение:

сорян за подчерк. лслалалалвлвбы

Приложения:

kimzinaida: Спасибо большое
Вас заинтересует