• Предмет: Алгебра
  • Автор: Аноним
  • Вопрос задан 8 лет назад

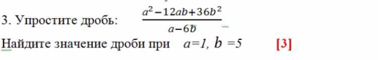
можете расписать на листе пожалуйта,очень срочно!!!

Приложения:

Ответы

Ответ дал: tlazarcuk9
0

Ответ:

-29

Объяснение:

  \frac{a {}^{2}  -  12ab  + 36b {}^{2} }{a - 6b}  =  \frac{(a - 6b) {}^{2} }{a - 6b} = a - 6b = 1 - 6 \times 5 =  - 29

Вас заинтересует