• Предмет: Алгебра
  • Автор: klepusnik
  • Вопрос задан 8 лет назад

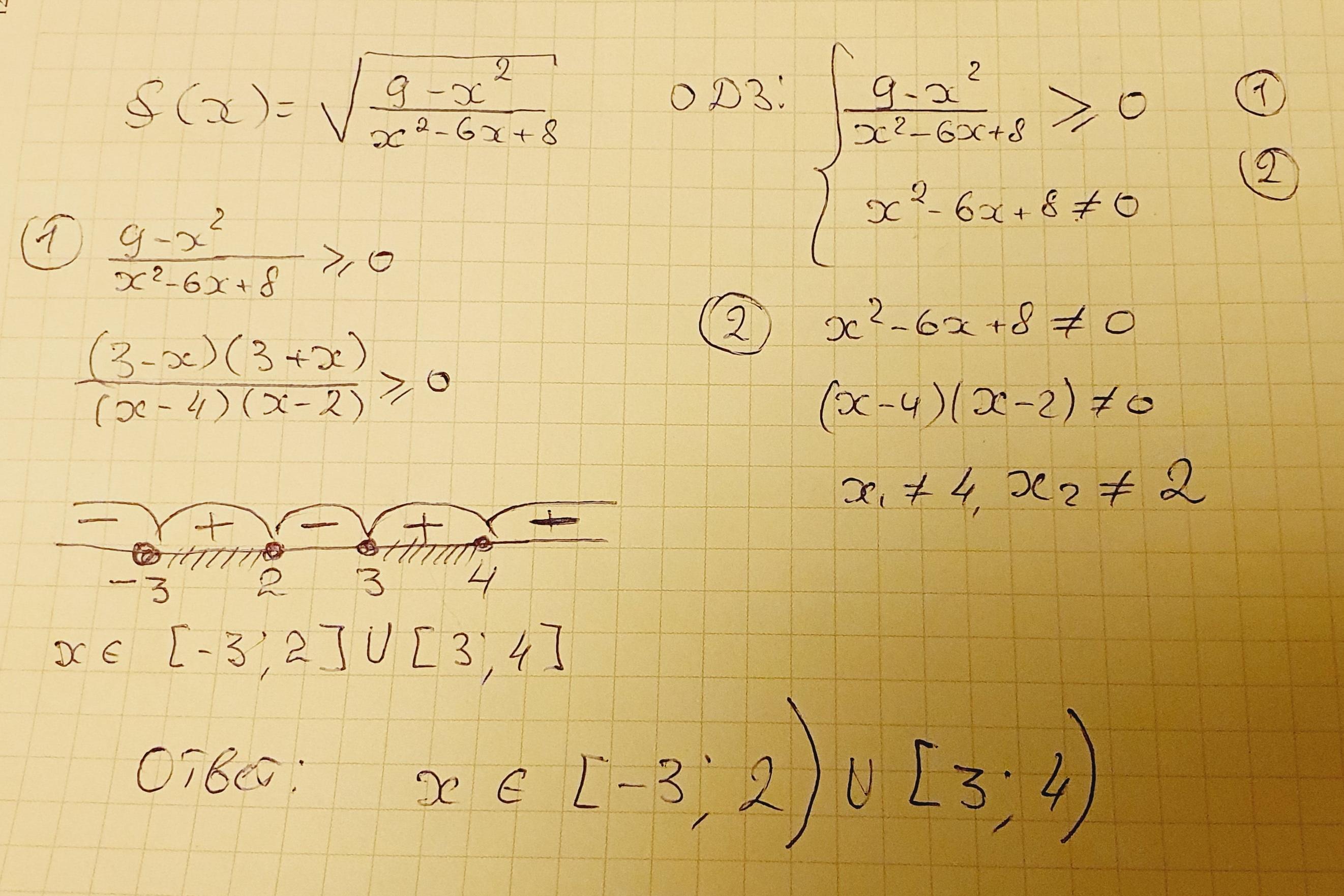
F(x) = √[(9 – x2)/(x2 – 6x + 8)] Найдите область определения функции

Ответы

Ответ дал: ReMiDa
9

Ответ:

х€[-3;2)[3;4)

Объяснение:

Приложения:
Вас заинтересует