• Предмет: Геометрия
  • Автор: kanbolotguljigitov
  • Вопрос задан 8 лет назад

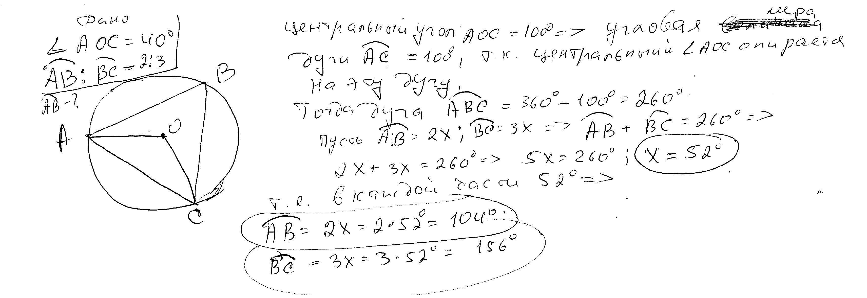
В окружность с центром О. вписан ДАВС так, что ZAOC = 100º. UAB:U BC = 2:3. Найдите

величину дуги AB






дам 40 баллов срочно решите пожалуйста​

Ответы

Ответ дал: ужнеужели
13

Ответ: 104 градусам

Объяснение:

во вложенном файле

Приложения:
Вас заинтересует