• Предмет: Геометрия
  • Автор: lilu1312
  • Вопрос задан 8 лет назад

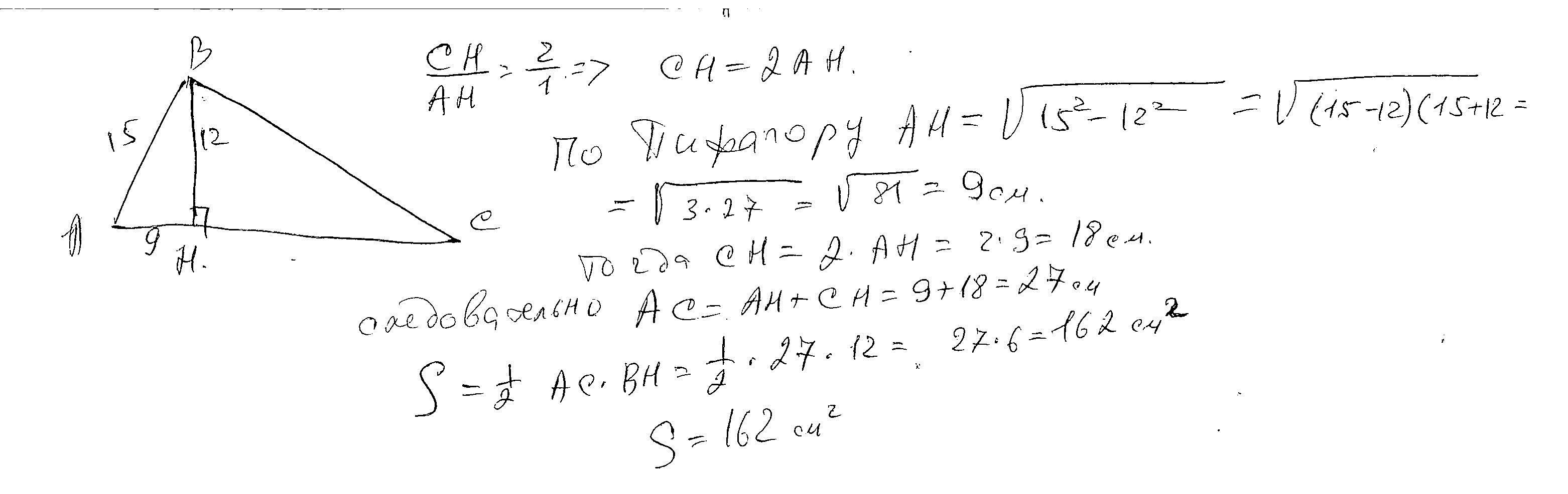
Висота трикутника завдовжки 12 см ділить основу у відношенні 1:2. Знайдіть площу трикутника, якщо менша бічна сторона 15 см. Срочно!!! Даю 30 б

Ответы

Ответ дал: ужнеужели
1

Ответ: 162 кв см

Объяснение:

во вложенном файле

Приложения:

lilu1312: Спасибо, Добрый Человек!))
ужнеужели: Удачи Вам
Вас заинтересует