Ребятааа,срочно! нужна ваша помощь! 10 класс!((
Приложения:

Abloud:
a) f min = 10; f max = 13.833
Ответы
Ответ дал:
1
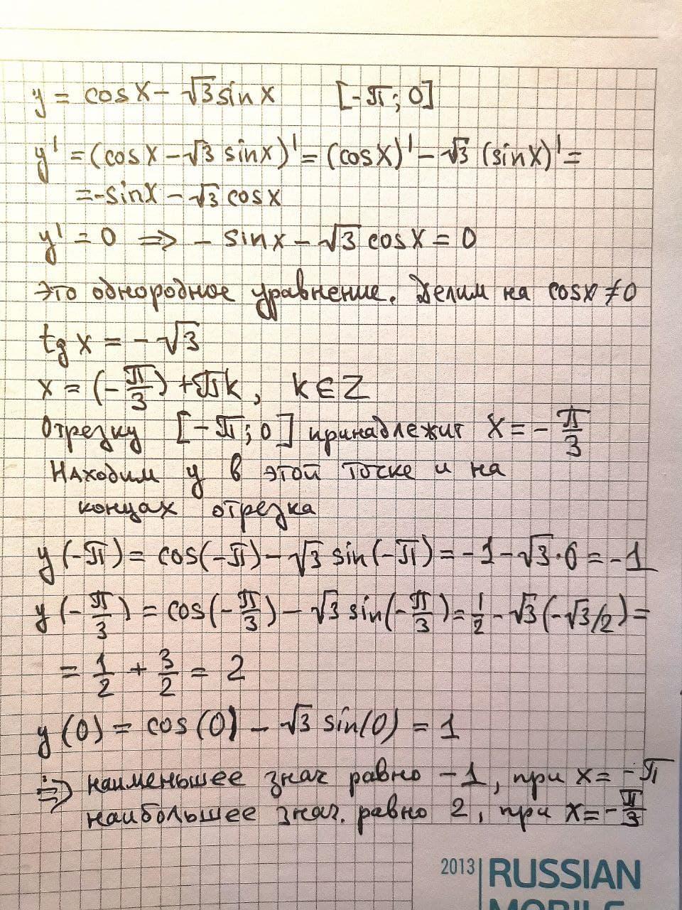
Ответ:
а)
f min = 10;
f max = 13.833
б)
-1 - мин при ч = - π,
2 - макс при х = - π/3
Объяснение:
Приложения:


Вас заинтересует
2 года назад
3 года назад
8 лет назад
8 лет назад
9 лет назад