30 баллов, срочно
1. Решить задачу с помощью системы уравнений.
2. Решить системы уравнений любым способом (подстановкой или сложением).
Приложения:


iramazurk:
А где задача?
Ответы
Ответ дал:
2
Вот, ответ вложении!
Приложения:

Ответ дал:
0
Ответ:
Пошаговое объяснение:
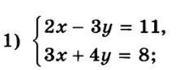
1)
2х - 3у = 11
3х + 4у = 8
Решим систему методом сложения:
5х + у = 19
3х + 4у = 8
у = 19 - 5х
3х + 4у = 8
у = 19 - 5х
3х + 4(19 - 5х) = 8
у = 19 - 5х
3х + 76 - 20х = 8
у = 19 - 5х
-17х = -68
у = 19 - 5х
х = 4
у = 19 - 5*4
х = 4
у = -1
х = 4
Ответ : (4; -1)
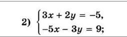
2)
3х + 2у = -5
-5х - 3у = 9
Решим систему методом сложения:
-2х - у = 4
3х + 2у = -5
у = -2х - 4
3х + 2у = -5
у = -2х - 4
3х + 2(-2х - 4) = -5
у = -2х - 4
3х - 4х - 8 = -5
у = -2х - 4
-х = 3
у = -2х - 4
х = -3
у = -2(-3) - 4
х = -3
у = 2
х = -3
Ответ: (-3; 2)
Вас заинтересует
2 года назад
2 года назад
3 года назад
8 лет назад
8 лет назад
9 лет назад