• Предмет: Математика
  • Автор: alisa162013
  • Вопрос задан 8 лет назад

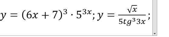
помогите найти производные функций

Приложения:

Ответы

Ответ дал: Miroslava227
0

Пошаговое объяснение:

1.

y '= 3 {(6x + 7)}^{2}  \times (6x + 7)' =  \\  = 3(6x + 7) {}^{2}  \times 6 = 18 {(6x + 7)}^{2}

2.

y' =   \frac{1}{5} \times  \frac{( \sqrt{x})' \times tg {}^{3}(5x) - ( {tg}^{3}(5x)) '\times  \sqrt{x}    }{ {tg}^{6x}(5x) }  =  \\  =  \frac{1}{5}  \times  \frac{ \frac{1}{2 \sqrt{x}  }{tg}^{3} (5x) - 3 {tg}^{2}(5x) \times  \frac{1}{ \cos {}^{2} (5x)} \times 5 \times  \sqrt{x}     }{ {tg}^{6}(5x) }  =  \\  =  \frac{1}{5 {tg}^{4} (5x)} ( \frac{tg(5x)}{2 \sqrt{x} }  -  \frac{5 \sqrt{x} }{ \cos {}^{2} (5x) } )

Вас заинтересует