• Предмет: Алгебра
  • Автор: Lonz0f
  • Вопрос задан 8 лет назад

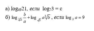
Вычислить логарифмы с фото

Приложения:

Ответы

Ответ дал: vladykar9
1

Відповідь:

Пояснення:

Приложения:
Вас заинтересует