• Предмет: Математика
  • Автор: varvaratihonova3014
  • Вопрос задан 8 лет назад

Решите системы уравнений. Пожалуйста грамотно. Лучше способом выражения через x или y, или способом постановки. Да вообще любым, Пожалуйста ✨​ от вас многое зависит ✨​

Приложения:

varvaratihonova3014: прошу, если вы что то понимаете помогите

Ответы

Ответ дал: vladykar9
1

Відповідь:

Покрокове пояснення:

Приложения:

varvaratihonova3014: спасибо
Ответ дал: iramazurk
1

Ответ:

Пошаговое объяснение:

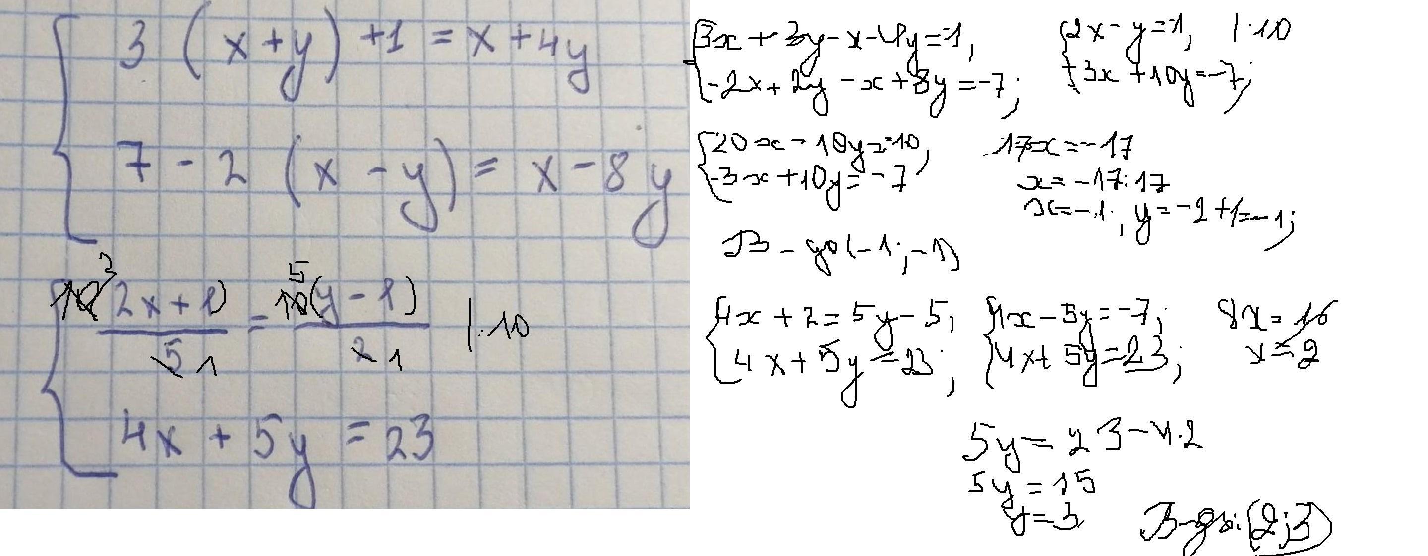
1.

3(х + у) + 1 = х + 4у

7 - 2(х - у) = х - 8у

3х + 3у + 1 = х + 4у

7 - 2х + 2у = х - 8у

3х + 3у - х - 4у = -1

-2х + 2у - х + 8у = -7

2х - у = -1

-3х + 10у = -7

Решим систему методом подстановки:

у = 2х - (-1)

-3х + 10у = -7

у = 2х + 1

-3х + 10у = -7

1)

-3х + 10(2х + 1) = -7

-3х + 20х + 10 = -7

17х = -17

х = -17 : 17

х = -1

2)

у = 2х + 1

у = 2*(-1) + 1

у = -2 + 1

у = -1

Ответ : (-1; -1)

2.

2(2х + 1) = 5(у - 1)

4х + 5у = 23

4х + 2 = 5у - 5

4х + 5у = 23

4х - 5у = -7

4х + 5у = 23

Решим систему методом сложения:

8х = 16

4х + 5у = 23

1)

8х = 16

х = 16/8

х = 2

2)

4 * 2 + 5у = 23

8 + 5у = 23

5у = 23 - 8

5у = 15

у = 15 : 5

у = 3

Ответ : (2; 3)

Вас заинтересует