Ответы
Ответ дал:
0
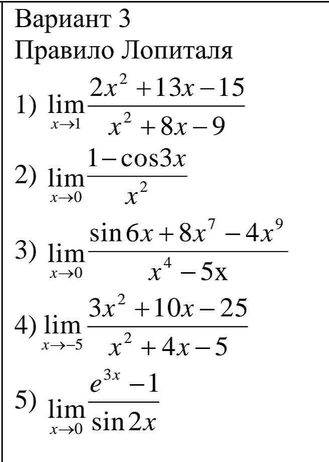
решение во вложении ниже
Приложения:

Вас заинтересует
2 года назад
8 лет назад
9 лет назад
9 лет назад