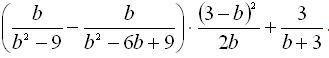
Довести, що при всіх допустимих значеннях змінної значення виразу не залежить від значення змінної, яка входить в нього
Приложения:

Ответы
Ответ дал:
1
Відповідь:
0
Пояснення:
Зделаем действия в скобках
b/(b^2-9) - b/(b^2-6b+3)= b/(b-3) ×(1/(b+3)-1/(b-3))= b/(b-3)× ((b-3-b-3)/((b+3)(b-3))=b/(b-3)×(-6)/((b+3)(b-3))
Умножение
(b/(b^2-9) - b/(b^2-6b+3))×(3-b)^2/2b=b/(b-3)×(-6)/((b+3)(3-b))×(3-b)^2/2b= -3/(b+3)
-3/(b+3) +3/(b+3)=0
Ответ дал:
1
Ответ:
В ответе получили число 0, а число не зависит от переменной. Поэтому значение выражения не зависит от значения переменной "b" , которая входит в него . Какое бы значение переменной "b" из области определения мы ни придавали, всё равно в ответе получим 0 .
Вас заинтересует
3 года назад
3 года назад
8 лет назад
8 лет назад