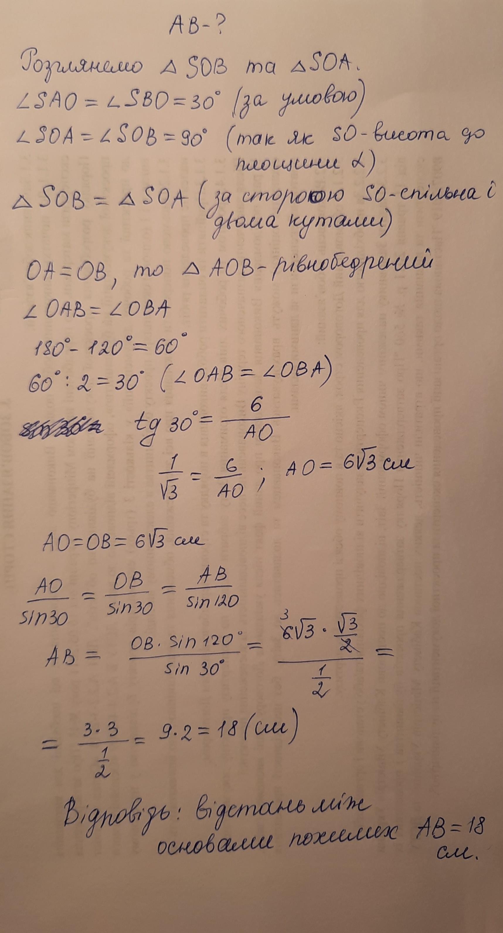
3 точки, віддаленої від плошини на 6 см, проведено дві похилі. Знайти відстань між основами похилих,якщо кут між їх проекціями дорівнює 120°, а
кожна похила утворює з плошиною кут 30.
ПОМОГИТЕ ПОЖАЛУЙСТА!!!
Ответы
Ответ дал:
1
Відповідь: 18 см
Пояснення: див на фото
АВ знаходимо за теоремою синусів
Приложения:


Вас заинтересует
2 года назад
3 года назад
3 года назад
8 лет назад
8 лет назад