Примеры их надо срочно решить
Приложения:

arsenijf403:
к какому?
Ответы
Ответ дал:
1
Объяснение:
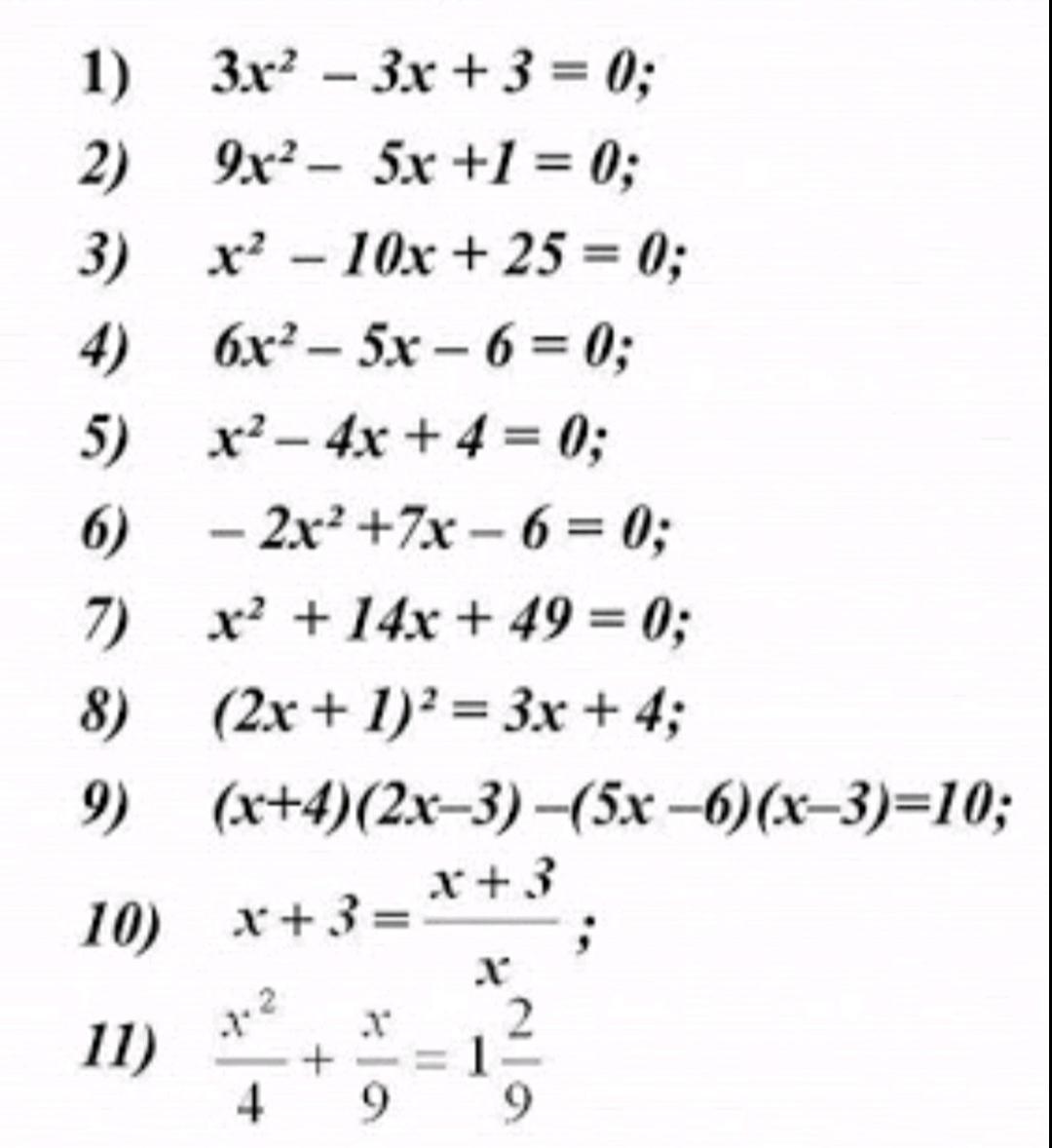
1) 3-3x+3=0
D=9-4×3×3= -27, нет корней.
2) 9-5x+1=0
D=25-4×9×1= -12, нет корней
3) x2-10x+25=0
D=100-4×25×1=0 ⇔ x=10/2×25=0,2.
4) 6-5x-6=0
D=25+4×6×(-6)=169=
x=5±13/12; x1= 1,5 ⇒ x2= -2/3
5) -4x+4=0
D=16-4×1×4=0 ⇔ x=4/2=2.
6) -2+7x-6=0
D=49-4×(-2)×(-6)=49-48=1
x=-7±1/4 ⇒ x1= -2; x2= -1,5.
7) +14x+49=0
D=196-4×1×49=0 ⇒ x= -14/2= -7
8) (2x+1=3x+4
4+4x+1=3x+4
4+x-3=0
D=1+4×4×(-3)=49=
x= -1±7/8 ⇒ x1= -1; x2=0,75.
Вас заинтересует
2 года назад
3 года назад
8 лет назад
8 лет назад
9 лет назад