• Предмет: Физика
  • Автор: leya193
  • Вопрос задан 8 лет назад

Нужен просто ответ в цифрах

Приложения:

Ответы

Ответ дал: ahhale
0

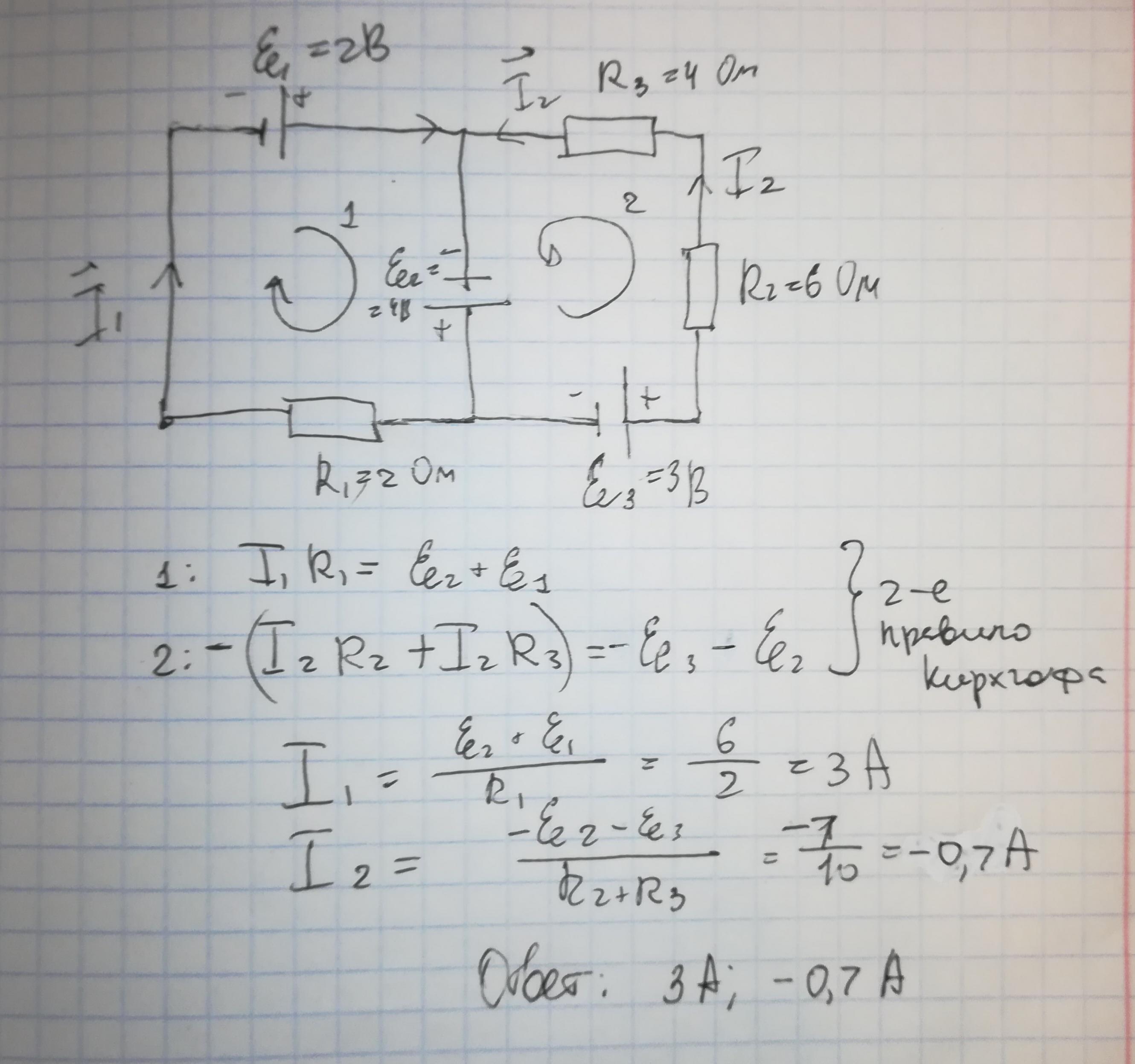
Ответ: I1=3A, I2=-0.7A

Решение на фото

Приложения:
Вас заинтересует