• Предмет: Алгебра
  • Автор: leonidoviclev
  • Вопрос задан 8 лет назад

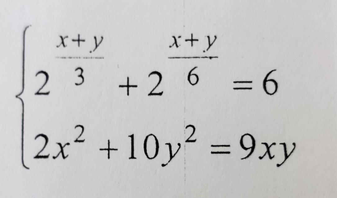
Решите систему уравнений​

Приложения:

Simba2017: x+y=6 значит и во второе у через х....
Аноним: там есть несколько решений
Simba2017: два и будет
Аноним: четыре...
Аноним: два действительный и два комплексных ответа
Аноним: или корня, как угодно
Simba2017: а откуда появятся 2 комплексных?
Аноним: Автору вопроса. Какой уровень (класс)?
Simba2017: уровень что-то меняет?
Аноним: Меняет

Ответы

Ответ дал: Аноним
1

Решение задания прилагаю

Приложения:
Вас заинтересует