• Предмет: Математика
  • Автор: glebokkamyshkin
  • Вопрос задан 8 лет назад

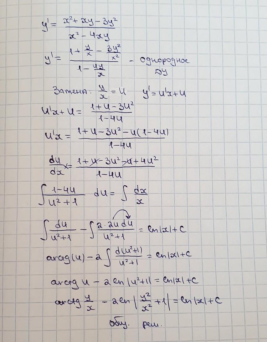
Показать, что данное дифференциальное уравнение является однородным. Найти общий интеграл данного уравнения

Приложения:

Ответы

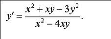
Ответ дал: Miroslava227
1

Ответ:

решение на фотографии.

Приложения:
Вас заинтересует