• Предмет: Геометрия
  • Автор: kabanovnickolay98
  • Вопрос задан 8 лет назад

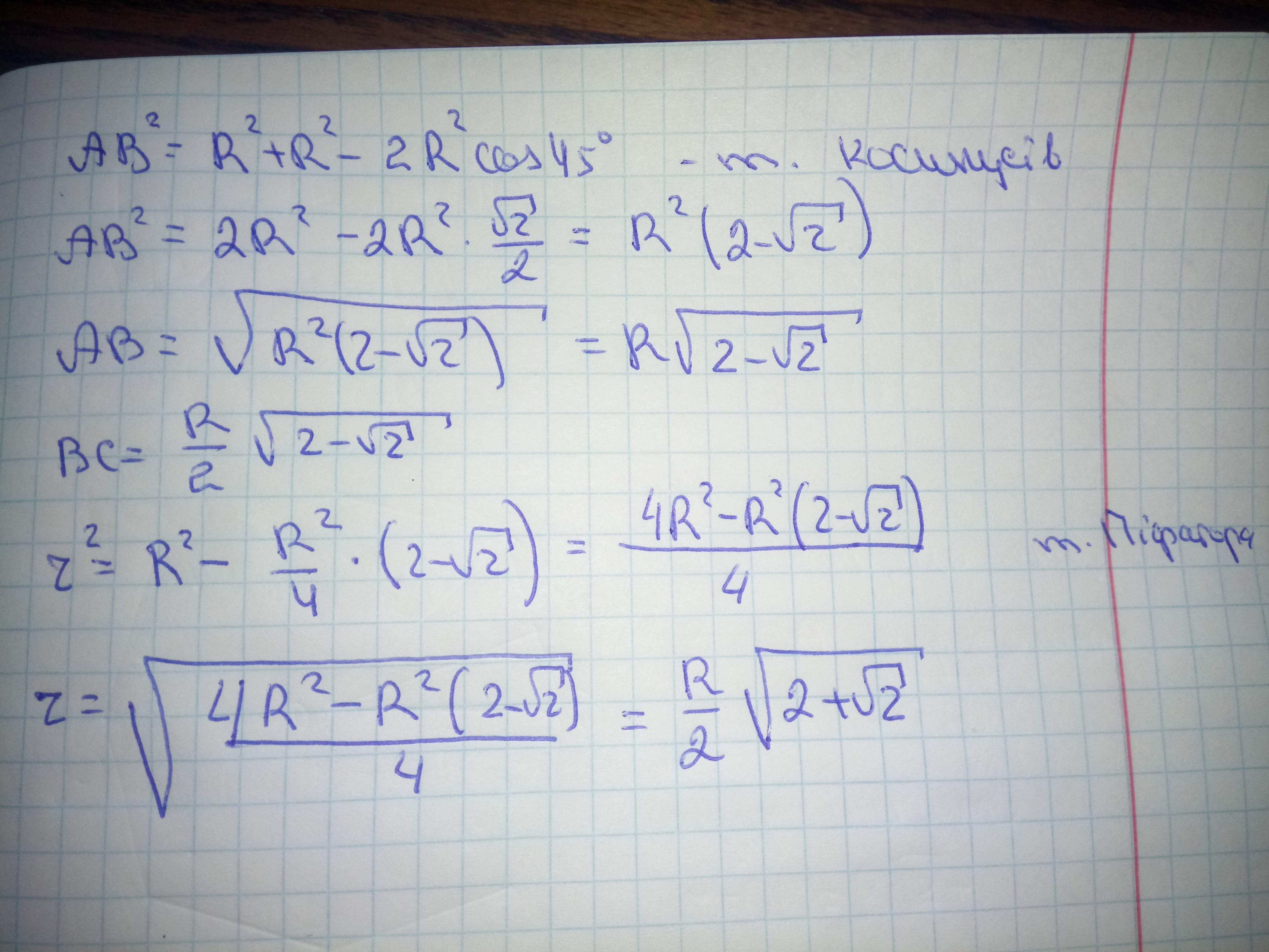
Доведіть що коли радіус кола, описаного навколо правильного восьмикутника, дорівнює R, то радіус кола вписаного в нього, дорівнює R✓2+✓2/2

Ответы

Ответ дал: Аноним
7

Розв'язання завдання додаю. Один зi способiв

Приложения:
Вас заинтересует