• Предмет: Математика
  • Автор: Diliones
  • Вопрос задан 8 лет назад

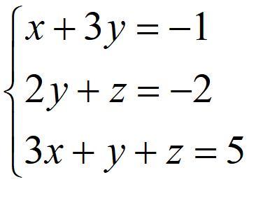
Решить систему линейных уравнений по формулам Крамера и матричным методом.

Приложения:

Ответы

Ответ дал: dnepr1
0

Во вложении дано решение заданной системы по формулам Крамера.

Это фото с программы Excel.

Определители найдены по методу Саррюса ("наклонные полоски").

Приложения:
Вас заинтересует