• Предмет: Математика
  • Автор: ggulnarm
  • Вопрос задан 8 лет назад

T 11 . Из двух пунктов, расстояние между которыми равно 324 км , одновременно навстречу выехали два катера. Скорости катеров в стоячей воде равны , скорость течения равна 5 км/ ч. Через сколько часов встретятся катера , если катер , двигающийся против течения, за 4 часов может проехать 88 км ?​

Ответы

Ответ дал: mirageKZ
1

Ответ:

6 часов

Пошаговое объяснение:

пусть х - скорость катера в стоячей воде, тогда

(x-5)*4 = 88

x-5=22

x=27 км/ч

27+5 = 32  км/ч скорость катера по течению

27-5 = 22  км/ч скорость катера против течения

32+22=54 км/ч скорость сближения катеров

324:54=6 часов надо катерам для встречи


ggulnarm: неправда уберите пожалуйста. правильный ответ 7 мне надо решение
ggulnarm: 7 ч
Nelia2019: там получается 6 часов
ggulnarm: хорошо спасибо
Ответ дал: Nelia2019
1

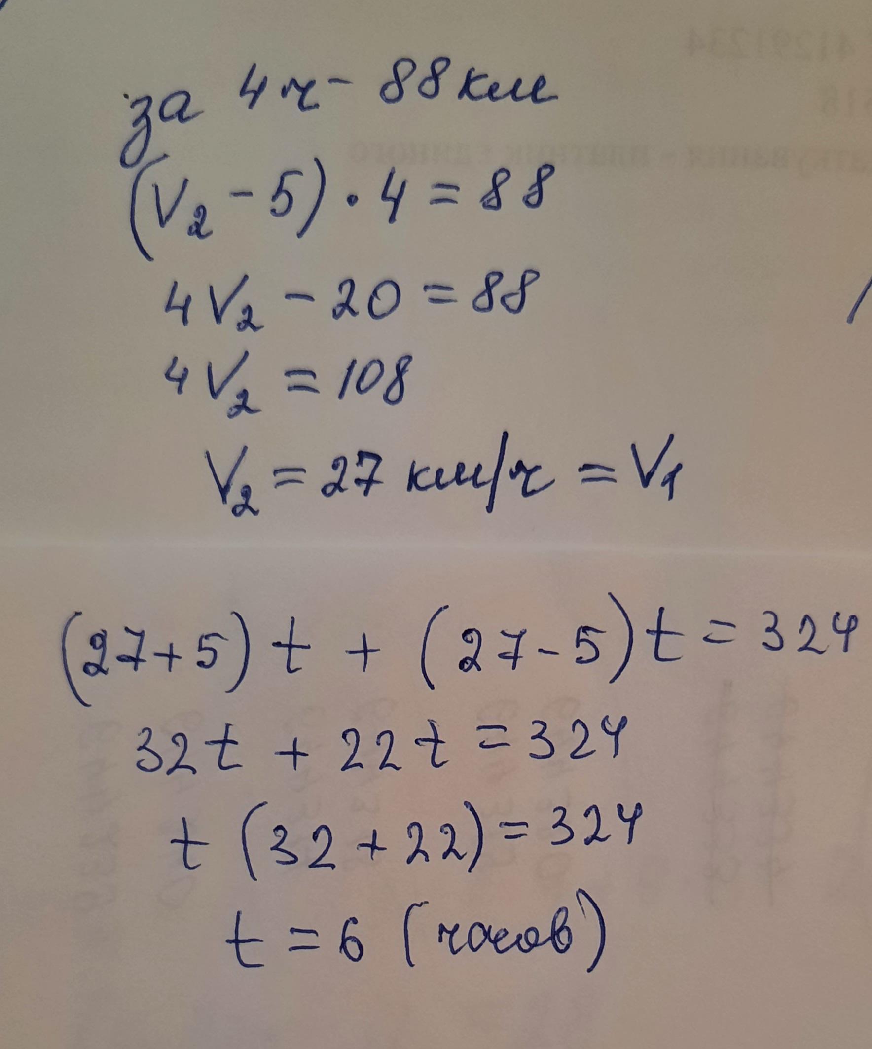
Ответ: через 6 часов встретятся катера

Решение скидываю на фото

учитываем, что скорости катеров в стоячей воде равны

Приложения:
Вас заинтересует